Упр.1.73 ГДЗ Дорофеев Суворова 9 класс (Алгебра)
Решение #1

Рассмотрим вариант решения задания из учебника Дорофеев, Суворова, Бунимович 9 класс, Просвещение:
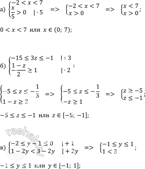
Решите систему неравенств (116—117).
а) Система -2 < x < 7 и x/5 > 0;
б) Система -15?3z?-1 и (1-z)/2?1;
в) Система -2?y-1?0 и 1-2y < 3-2y;;
Популярные решебники 9 класс Все решебники
*К сожалению, временные проблемы с публикацией комментариев с мобильных устройств.