Упр.1.71 ГДЗ Дорофеев Суворова 9 класс (Алгебра)
Решение #1

Рассмотрим вариант решения задания из учебника Дорофеев, Суворова, Бунимович 9 класс, Просвещение:
Решите двойное неравенство:
а) -8 < 2х - 4 < 1;
б) -1 ? (3x-4)/5 ? 1;
В) -5 ? (1-x)/2 ? 0;
Г) 0 ? (1-2x)/3 < 3;
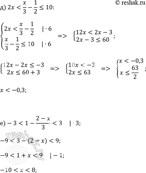
Д) 2x < x/3 - 1/2 ? 10;
е) -3 < 1 - (2-x)/3 < 3;
Популярные решебники 9 класс Все решебники
*К сожалению, временные проблемы с публикацией комментариев с мобильных устройств.