Упр.1.70 ГДЗ Дорофеев Суворова 9 класс (Алгебра)
Решение #1
Решение #2

Рассмотрим вариант решения задания из учебника Дорофеев, Суворова, Бунимович 9 класс, Просвещение:
1.70. Решите систему неравенств:
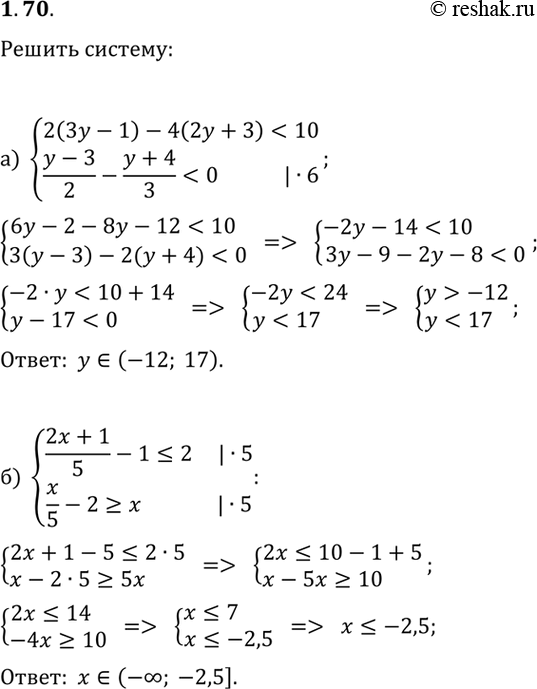
а) {2(3y-1)-4(2y+3) < 10, (y-3)/2-(y+4)/3 < 0};
б) {(2x+1)/5-1?2, x/5-2?x};
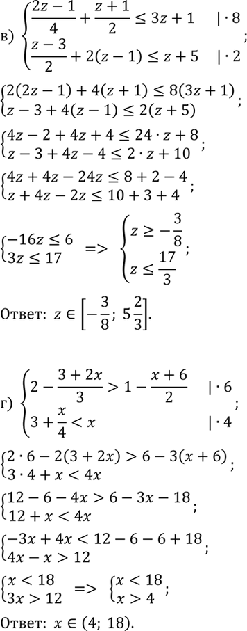
в) {(2z-1)/4+(z+1)/2?3z+1, (z-3)/2+2(z-1)?z+5};
г) {2-(3+2x)/3 > 1-(x+6)/2, 3+x/4 < x}.
Популярные решебники 9 класс Все решебники
*размещая тексты в комментариях ниже, вы автоматически соглашаетесь с пользовательским соглашением