Упр.1.7 ГДЗ Мерзляк 10 класс Углубленный уровень (Алгебра)
Решение #1

Рассмотрим вариант решения задания из учебника Мерзляк, Номировский, Поляков 10 класс, Просвещение:
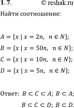
1.7. Запишите с помощью символа ? соотношение между множествами:
A={x | x=2n, n?N}; C={x | x=10n, n?N};
B={x | x=50n, n?N}; D={x | x=5n, n?N}.
Похожие решебники
Популярные решебники 10 класс Все решебники
*К сожалению, временные проблемы с публикацией комментариев с мобильных устройств.