Упр.1.4 ГДЗ Мерзляк 10 класс Углубленный уровень (Алгебра)
Решение #1

Рассмотрим вариант решения задания из учебника Мерзляк, Номировский, Поляков 10 класс, Просвещение:
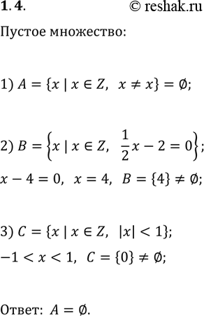
1.4. Какие из следующих множеств равны пустому множеству:
1) A={x | x?Z, x?x};
2) B={x | x?Z, (1/2)x-2=0};
3) C={x | x?Z, |x| < 1}?
Похожие решебники
Популярные решебники 10 класс Все решебники
*К сожалению, временные проблемы с публикацией комментариев с мобильных устройств.