Упр.1.13 ГДЗ Мерзляк 10 класс Углубленный уровень (Алгебра)
Решение #1

Рассмотрим вариант решения задания из учебника Мерзляк, Номировский, Поляков 10 класс, Просвещение:
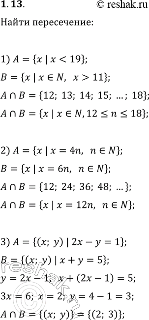
1.13. Найдите пересечение множеств A и В, если:
1) A={x | x < 19}, B={x | x?N, x > 11};
2) A={x | x=4n, n?N}, B={x | x=6n, n?N};
3) A={(x, y) | 2x-y=1}, B={(x, y) | x+y=5}.
Похожие решебники
Популярные решебники 10 класс Все решебники
*размещая тексты в комментариях ниже, вы автоматически соглашаетесь с пользовательским соглашением