Упр.30.20 ГДЗ Мордковича 11 класс профильный уровень (Алгебра)
Решение #1
Решение #2(записки учителя)
Решение #3(записки школьника)

Рассмотрим вариант решения задания из учебника Мордкович, Семенов 11 класс, Мнемозина:
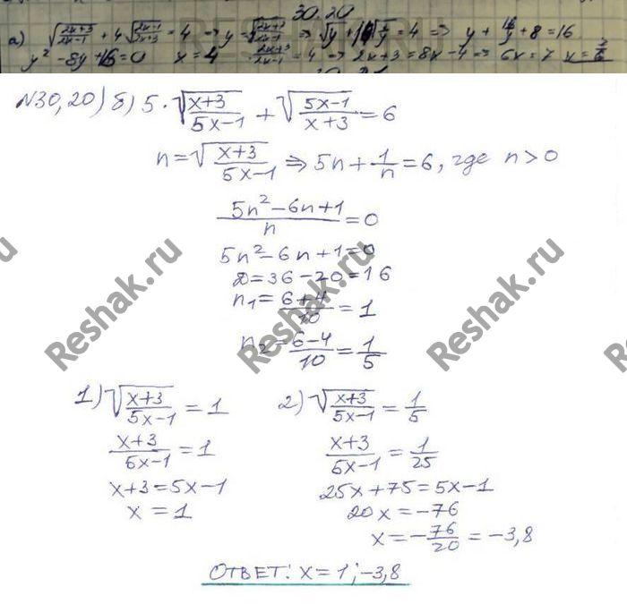
30.20 а)корень (2x+3)/(2x-1) + 4* корень (2x-1)/(2x+3)=4;
б)5*корень (x+3)/(5x-1) + корень (5x-1)/(x+3)=6.
Похожие решебники
Популярные решебники 11 класс Все решебники
*размещая тексты в комментариях ниже, вы автоматически соглашаетесь с пользовательским соглашением