Упр.30.25 ГДЗ Мордковича 11 класс профильный уровень (Алгебра)
Решение #1
Решение #2(записки учителя)
Решение #3(записки школьника)

Рассмотрим вариант решения задания из учебника Мордкович, Семенов 11 класс, Мнемозина:
30.25. а) корень (х + 2 корень (х - 1)) + корень (х - 2 корень (х - 1)) = х - 1;
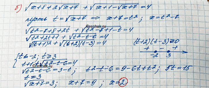
б) корень (х + 8 + 2 корнь (х + 7)) + корень (х + 1 - корень (х + 7)) = 4.
Похожие решебники
Популярные решебники 11 класс Все решебники
*размещая тексты в комментариях ниже, вы автоматически соглашаетесь с пользовательским соглашением