Упр.30.21 ГДЗ Мордковича 11 класс профильный уровень (Алгебра)
Решение #1
Решение #2(записки учителя)
Решение #3(записки школьника)

Рассмотрим вариант решения задания из учебника Мордкович, Семенов 11 класс, Мнемозина:
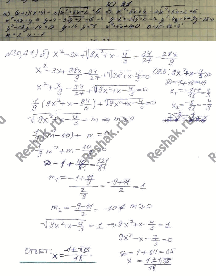
Решите уравнение:
30.21. а) (х + 1)(х + 4) - 3 корень х2 + 5х + 2 = 6;
б)x2-3x+ корень 9x2+x-4/3 =34/27 - 28x/9.
Похожие решебники
Популярные решебники 11 класс Все решебники
*размещая тексты в комментариях ниже, вы автоматически соглашаетесь с пользовательским соглашением