Упр.30.19 ГДЗ Мордковича 11 класс профильный уровень (Алгебра)
Решение #1
Решение #2(записки учителя)
Решение #3(записки школьника)

Рассмотрим вариант решения задания из учебника Мордкович, Семенов 11 класс, Мнемозина:
030.19. а) корень х = х - 6;
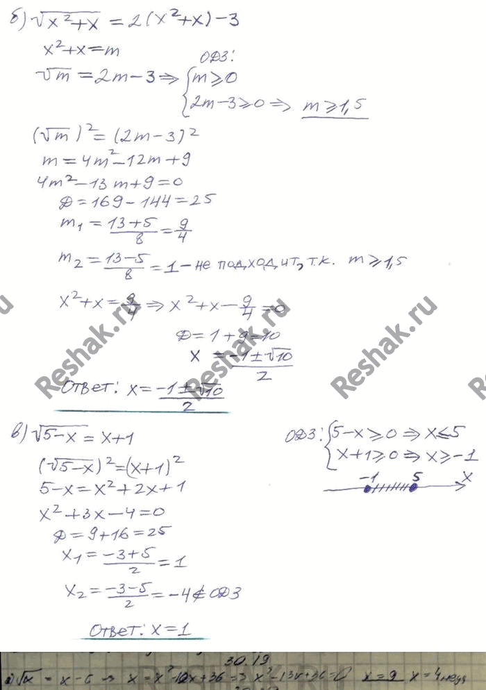
б) корень х2 + х = 2(х2 + х) - 3;
в) корень 5 - х = х + 1;
г) х + 13 + корень 18х2 - х - 1 = 18х2.
Похожие решебники
Популярные решебники 11 класс Все решебники
*размещая тексты в комментариях ниже, вы автоматически соглашаетесь с пользовательским соглашением