Упр.56.2 ГДЗ Мордкович 10-11 класс (Алгебра)
Решение #1
Решение #2

Рассмотрим вариант решения задания из учебника Мордкович, Семенов 11 класс, Мнемозина:
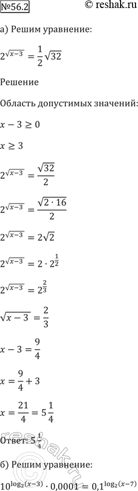
56.2 Решите уравнение:
а) 2^корень(x - 3) = 1/2 корень(32);
б) 10^log2 (x - 3) * 0,00001 = 0,1 log2 (x - 7).
Похожие решебники
Популярные решебники 11 класс Все решебники
*размещая тексты в комментариях ниже, вы автоматически соглашаетесь с пользовательским соглашением