Упр.20.10 ГДЗ Мордкович 10-11 класс (Алгебра)
Решение #1
Решение #2

Рассмотрим вариант решения задания из учебника Мордкович, Семенов 10 класс, Мнемозина:
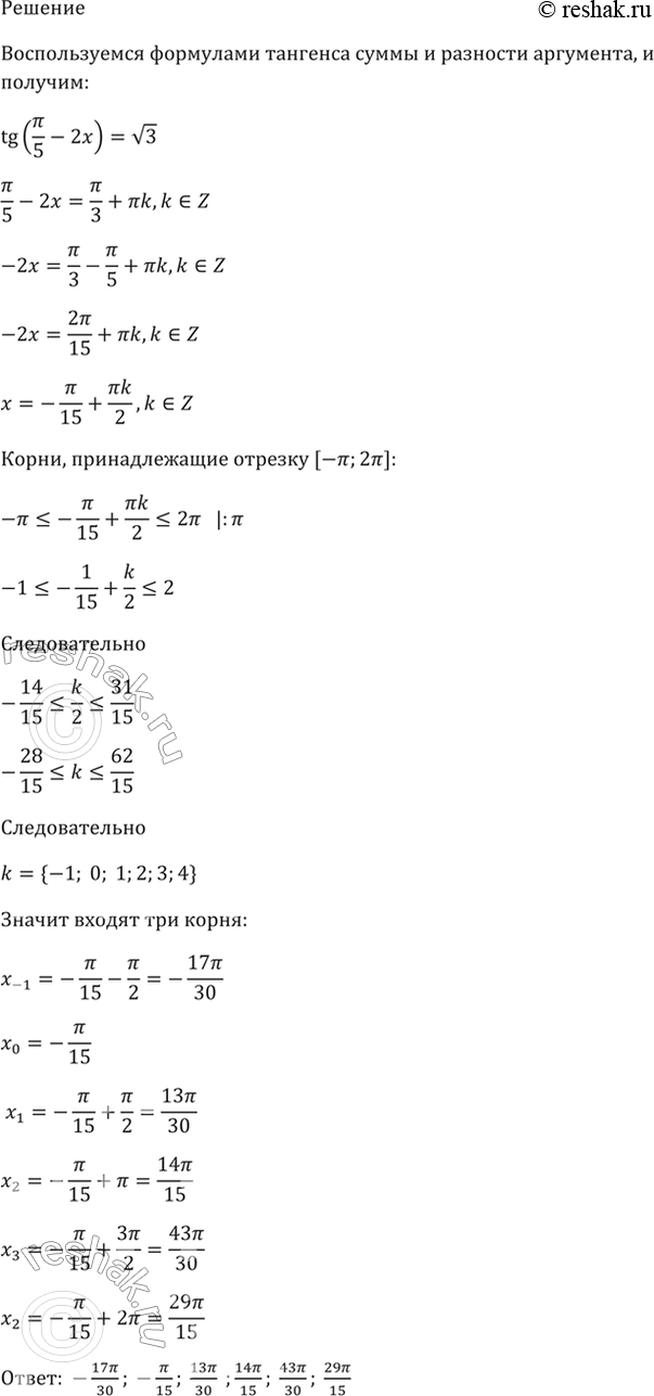
20.10 Найдите корни уравнения, принадлежащие отрезку [-пи; 2пи]:
а) (корень(3) - tg x) / (1 + корень(3)tg x) = 1;
б) (tg пи/5 - tg 2x) / (tg пи/5 * tg 2x + 1) = корень(3).
Похожие решебники
Популярные решебники 10 класс Все решебники
*размещая тексты в комментариях ниже, вы автоматически соглашаетесь с пользовательским соглашением