Упр.852 ГДЗ Макарычев Миндюк 9 класс (Алгебра)
Решение #1
Решение #2
Решение #3
Решение #4

Рассмотрим вариант решения задания из учебника Макарычев, Миндюк, Нешков 9 класс, Просвещение:
852. Найдите значение выражения:
а) P6 - P4 / P5;
б) P12 + P13 / P11;
в) A4 8 - A3 8 / A3 7 - A2 7;
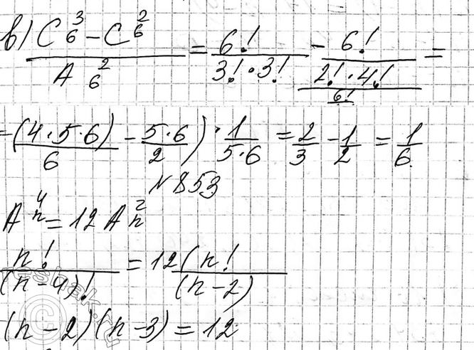
г) C3 6 - C2 6 / A2 6.
Похожие решебники
Популярные решебники 9 класс Все решебники
*размещая тексты в комментариях ниже, вы автоматически соглашаетесь с пользовательским соглашением