Упр.78 ГДЗ Макарычев Миндюк 9 класс (Алгебра)
Решение #1
Решение #2
Решение #3

Рассмотрим вариант решения задания из учебника Макарычев, Миндюк, Нешков 9 класс, Просвещение:
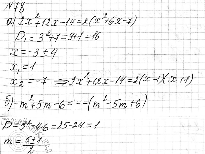
78 Разложите на множители квадратный трёхчлен:
а) 2x2 + 12х - 14;
б) -m2 + 5m - 6;
в) 3x2 + 5x - 2;
г) 6x2 - 13x + 6.
Похожие решебники
Популярные решебники 9 класс Все решебники
*К сожалению, временные проблемы с публикацией комментариев с мобильных устройств.