Упр.40 ГДЗ Макарычев Миндюк 8 класс (Алгебра)
Решение #1 (Учебник 2024)
Решение #2 (Учебник 2024)
Решение #3 (Учебник 2019)
Решение #4 (Учебник 2019)

Рассмотрим вариант решения задания из учебника Макарычев, Миндюк, Нешков 8 класс, Просвещение:
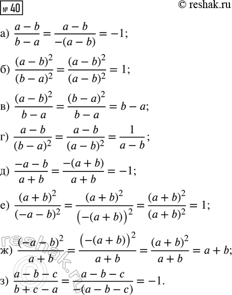
Упростите выражение:
а) (a - b)/(b - a);
б) (a - b)^2/(b - a)^2;
в) (a - b)^2/(b - a);
г) (a - b)/(b - a)^2;
д) (-a - b)/(a + b);
е) (a + b)^2/(-a - b)^2;
ж) (-a - b)^2/(a + b);
з) (a - b - c)/(b + c - a).
Сократите дробь:
Похожие решебники
Популярные решебники 8 класс Все решебники
*размещая тексты в комментариях ниже, вы автоматически соглашаетесь с пользовательским соглашением