Упр.1325 ГДЗ Макарычев Миндюк 8 класс (Алгебра)
Решение #1 (Учебник 2024)

Рассмотрим вариант решения задания из учебника Макарычев, Миндюк, Нешков 8 класс, Просвещение:
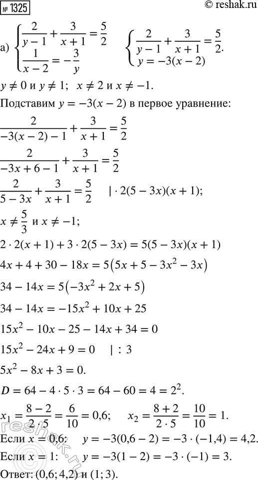
Решите систему уравнений:
а) {2/(y - 1) + 3/(x + 1) = 5/2, 1/(x - 2) = -3/y;
б) {1/(y + 1) = 2/(x - 1), 4/(x + 2) + 1/(y - 1) = 1/3.
Похожие решебники
Популярные решебники 8 класс Все решебники
*размещая тексты в комментариях ниже, вы автоматически соглашаетесь с пользовательским соглашением