Упр.1326 ГДЗ Макарычев Миндюк 8 класс (Алгебра)
Решение #1 (Учебник 2024)

Рассмотрим вариант решения задания из учебника Макарычев, Миндюк, Нешков 8 класс, Просвещение:
Найдите решения системы уравнений:
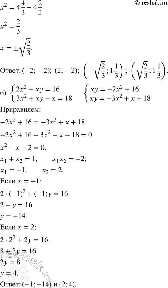
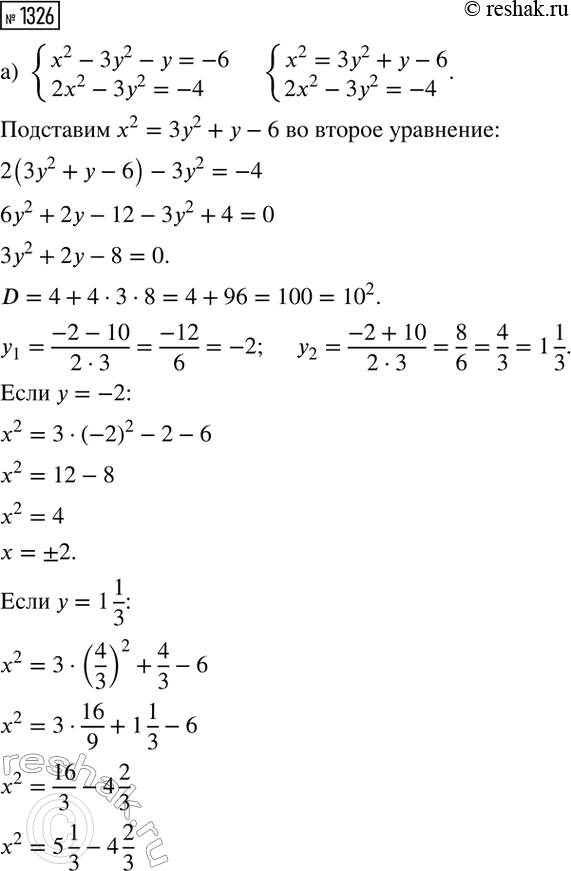
а) {x^2 - 3y^2 - y = -6, 2x^2 - 3y^2 = -4;
б) {2x^2 + xy = 16, 3x^2 + xy - x = 18.
Похожие решебники
Популярные решебники 8 класс Все решебники
*размещая тексты в комментариях ниже, вы автоматически соглашаетесь с пользовательским соглашением