№47 ГДЗ Рымкевич 10-11 класс (Физика)
Решение #1
Решение #2
Решение #3

Рассмотрим вариант решения задания из учебника Рымкевич 10-11 класс, Дрофа:
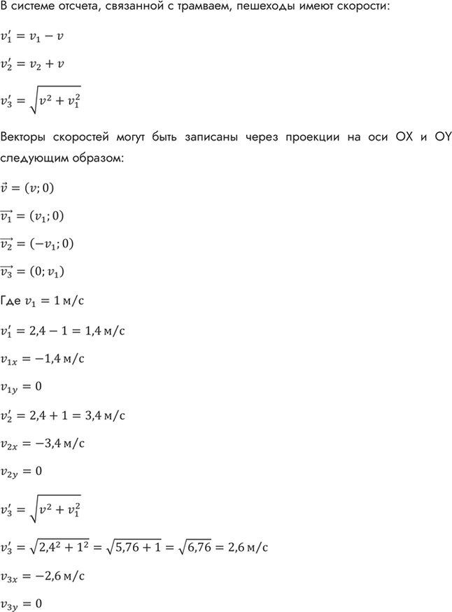
В системе отсчета, связанной с землей, трамвай движется со скоростью v = 2,4 м/с (рис. 15), а три пешехода — с одинаковыми по модулю скоростями v1 = v2 = v3 = 1 м/с. Найти: а) модули скоростей пешеходов в системе отсчета, связанной с трамваем; б) проекции векторов скоростей пешеходов на оси координат в этой системе отсчета.
Популярные решебники 10-11 класс Все решебники
*размещая тексты в комментариях ниже, вы автоматически соглашаетесь с пользовательским соглашением