№49 ГДЗ Рымкевич 10-11 класс (Физика)
Решение #1
Решение #2
Решение #3

Рассмотрим вариант решения задания из учебника Рымкевич 10-11 класс, Дрофа:
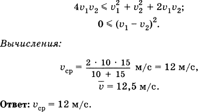
Автомобиль проехал первую половину пути со скоростью v1 = 10 м/с, а вторую половину пути со скоростью v2 = 15 м/с. Найти среднюю скорость на всем пути. Доказать, что средняя скорость меньше среднего арифметического значений v1 и v2.
Популярные решебники 10-11 класс Все решебники
*К сожалению, временные проблемы с публикацией комментариев с мобильных устройств.