Упр.726 ГДЗ Макарычев 7 класс (Алгебра)
Решение #1
Решение #2

Рассмотрим вариант решения задания из учебника Макарычев, Миндюк 7 класс, Просвещение:
Разложите на множители многочлен:
а) ab - 8а - bх + 8x; в) ах - by + bх - ау;
б) ах - b + bх - а; г) ах - 3bх + ау - 3by.
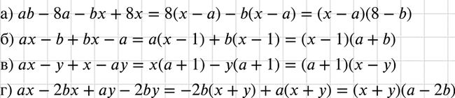
Разложите на множители многочлен:
а) аb - 8а - bх + 8х;
б) ах - b + bх - а;
в) ах - у + х - ау;
г) ах - 2bх + ау - 2bу.
Популярные решебники 7 класс Все решебники
*размещая тексты в комментариях ниже, вы автоматически соглашаетесь с пользовательским соглашением