Проверь себя 6 ГДЗ Мерзляк Полонский 5 класс (Математика)
Решение #1 (Учебник 2024)
Решение #2 (Учебник 2019)

Рассмотрим вариант решения задания из учебника Мерзляк, Полонский, Якир 5 класс, Просвещение:
Задание № 6 «Проверьте себя» в тестовой форме
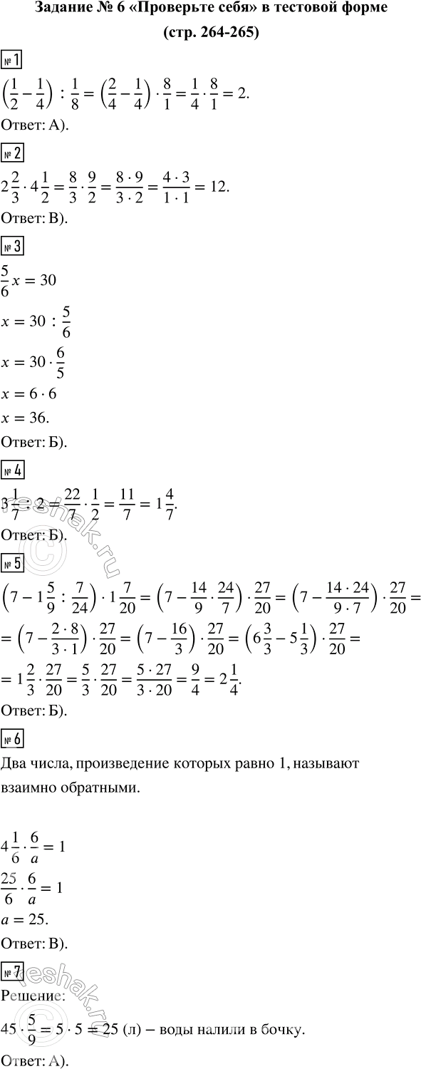
1. Вычислите значение выражения
2. Найдите произведение
3. Решите уравнение
4. Найдите частное
5. Найдите значение выражения
6. Числа являются взаимно обратными.
7. В бочку, объём которой равен 45 л, налили воду, заполнив — её объёма. Сколько литров воды налили в бочку?
8. У мальчика было 32 тетради в клеточку, что составляло — всех
тетрадей. Сколько всего тетрадей было у мальчика?
А) 42 тетради В) 56 тетрадей
Б) 48 тетрадей Г) 64 тетради
9. Петя поймал 6 рыб и ещё две трети улова. Сколько рыб поймал Петя?
А) 6 рыб Б) 12 рыб В) 18 рыб Г) 24 рыбы
10. Митя должен был решить 32 задачи. В первый день он решил всех задач, а во второй количества задач, решенных в первый день. Сколько задач осталось решить Мите?
А) 12 задач Б) 8 задач В) б задач Г) 4 задачи
11. Один пешеход преодолевает путь от пункта А до пункта В за Зч, а другой пешеход от пункта В до пункта А — за 6 ч. Через сколько часов пешеходы встретятся, если выйдут одновременно навстречу друг другу из пунктов А и В?
12. Бассейн можно наполнить за 3 ч, а спустить из него воду через сливное отверстие — за 5 ч. Сколько времени понадобится для наполнения бассейна, если не закрывать сливное отверстие?
1. Сколько цифр записано справа от запятой в произведении чисел 2,64 и 3,72?
А) две цифры В) четыре цифры
Б) три цифры Г) пять цифр
2. Чему равна половина одной сотой?
А) 0,5 Б) 0,002 В) 0,02 Г) 0,005
3. Упростите выражение 0,2а · 1,5b.
А) 3аb Б) 0,3ab В) 0,03ab Г) 30аb;
4. Чему равно значение выражения 48 : (1,07 + 0,53) - 1,6?
А) 28,4 Б) 1,4 В) 27,4 Г) 1,54
5. Упростите выражение 2,1с - 0,6с + 3,9с.
А) 5,4с Б) 6,6с В) 5,8c Г) 5,2с
6. Чему равно значение выражения (36 - 1,8 · 2,7) : 0,9?
А) 14 Б) 1,4 В) 3,46 Г) 34,6
7. В стаде было 200 животных, из них 34 % составляли овцы. Сколько овец было в стаде?
А) 54 овцы Б) 68 овец В) 72 овцы Г) 86 овец
8. Сплав содержит 28 % меди. Какова масса сплава, если он содержит 56 т меди?
А) 350 т Б) 300 т В) 250 т Г) 200 т
9. Велосипедист проехал 20 км со скоростью 10 км/ч и 15 км со скоростью 5 км/ч. Найдите среднюю скорость движения велосипедиста.
А) 6 км/ч Б) 7 км/ч В) 7,5 км/ч Г) 9 км/ч
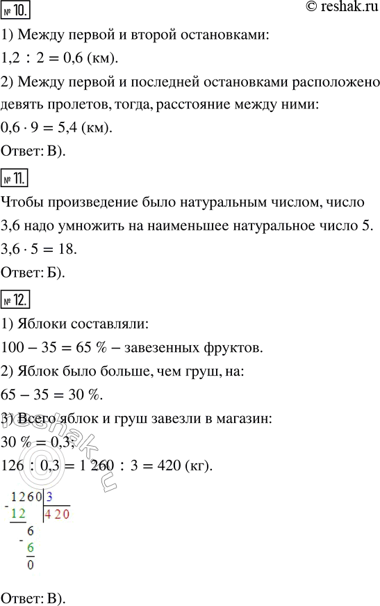
10. Десять автобусных остановок расположены на прямой улице так, что расстояния между любыми соседними остановками одинаковы. Расстояние между первой и третьей остановками равно 1,2 км. Каково расстояние между первой и последней остановками?
А) 12 км Б) 10,8 км В) 5,4 км Г) 6 км
11. На какое наименьшее натуральное число надо умножить число 3,6, чтобы произведение было натуральным числом?
А) 2 Б) 5 В) 10 Г) 20
12. В магазин завезли яблоки и груши, причём груши составляли 35 % завезённых фруктов. Яблок было на 126 кг больше, чем груш. Сколько килограммов яблок и груш завезли в магазин?
А) 300 кг Б) 350 кг В) 420 кг Г) 480 кг
Похожие решебники
Популярные решебники 5 класс Все решебники
*К сожалению, временные проблемы с публикацией комментариев с мобильных устройств.