🔥ГДЗ под запретом?

Проверьте себя Пункт 32 ГДЗ Виленкин Жохов 5 класс Часть 2, Просвещение (Математика)

Решение #1 (Учебник 2023)

Изображение Проверьте себя Пункт 32 ГДЗ Виленкин Жохов 5 класс Часть 2, Просвещение

Решение #2 (Учебник 2020)

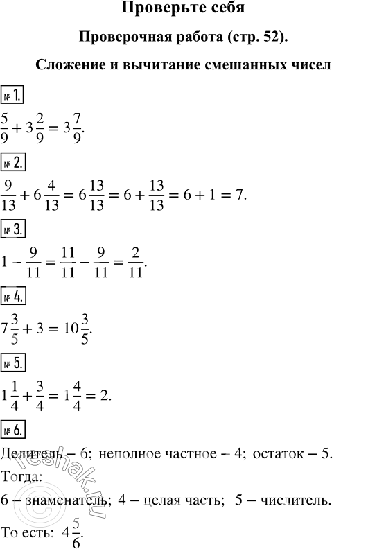
Изображение Проверьте себя Пункт 32 ГДЗ Виленкин Жохов 5 класс Часть 2, Просвещение
Дополнительное изображение

Рассмотрим вариант решения задания из учебника Виленкин, Жохов, Александрова 5 класс, Просвещение:
Проверочная работа
1. Выполните сложение:
а) 2 + 3 1/5; в) 23 12/13 + 7 2/13;
б) 4 1/4 + 15; г) 2 2/3 + 5 2/3.
2. Выполните вычитание:
а) 10 3/4 - 9; в) 35 3/67 - 35 2/67;
б) 4 3/17 - 3 2/17; г) 56 23/87 - 43 25/87.
3. На координатной прямой отмечены числа
2 3/8, 5 1/9, 34 12/15 и 130 11/210.
Между какими соседними натуральными числами расположено каждое из этих чисел?
4. Найдите значения а, при которых частное 12 : а будет:
а) правильной дробью;
б) неправильной дробью;
в) натуральным числом.

Найдите сумму:

1. Пяти девятых и трёх целых двух девятых.
2. Девяти тринадцатых и шести целых четырёх тринадцатых.

Найдите разность:

3. Единицы и девяти одиннадцатых.
4. Семи целых трёх пятых и трёх.
5. Одной целой одной четвёртой и трёх четвёртых.
6. Запишите результат деления двух чисел в виде смешанного числа, если делитель равен шести, неполное частное — четырём, а остаток равен пяти.

Верно ли высказывание (ответьте да или нет)?

7. Корень уравнения у + 3 7/15 = 5 — число две целых восемь пятнадцатых.
8. На координатном луче число шестьдесят целых две пятых расположено ближе к шестидесяти, чем к шестидесяти одному.

*Цитирирование задания со ссылкой на учебник производится исключительно в учебных целях для лучшего понимания разбора решения задания.
*К сожалению, временные проблемы с публикацией комментариев с мобильных устройств.