Упр.995 ГДЗ Мерзляк Полонский 8 класс (Алгебра)
Решение #1 (Учебник 2025)

Рассмотрим вариант решения задания из учебника Мерзляк, Полонская, Якир 8 класс, Просвещение:
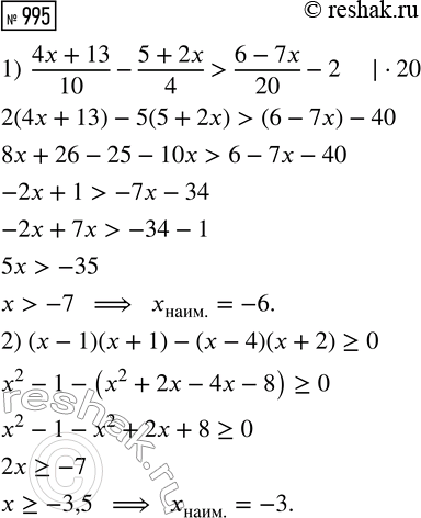
Найдите наименьшее целое решение неравенства:
1) (4x + 13)/10 - (5 + 2x)/4 > (6 - 7x)/20 - 2;
2) (x - 1)(x + 1) - (x - 4)(x + 2) >= 0.
Похожие решебники
Популярные решебники 8 класс Все решебники
*К сожалению, временные проблемы с публикацией комментариев с мобильных устройств.