Упр.990 ГДЗ Мерзляк Полонский 8 класс (Алгебра)
Решение #1 (Учебник 2025)

Рассмотрим вариант решения задания из учебника Мерзляк, Полонская, Якир 8 класс, Просвещение:
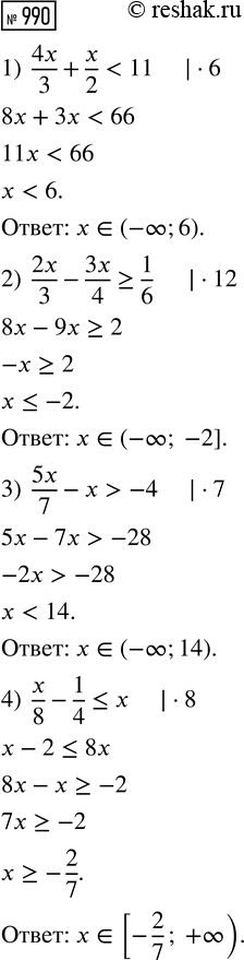
Решите неравенство:
1) 4x/3 + x/2 < 11;
2) 2x/3 - 3x/4 >= 1/6;
3) 5x/7 - x > -4;
4) x/8 - 1/4 <= x.
Похожие решебники
Популярные решебники 8 класс Все решебники
*К сожалению, временные проблемы с публикацией комментариев с мобильных устройств.