Упр.992 ГДЗ Мерзляк Полонский 8 класс (Алгебра)
Решение #1 (Учебник 2025)

Рассмотрим вариант решения задания из учебника Мерзляк, Полонская, Якир 8 класс, Просвещение:
Решите неравенство:
1) 3 - 5(2x + 4) >= 7 - 2x;
2) 6x - 3(x - 1) <= 2 + 5x;
3) x - 2(x - 1) >= 10 + 3(x + 4);
4) 2(2x - 3,5) - 3(2 - 3x) < 6(1 - x);
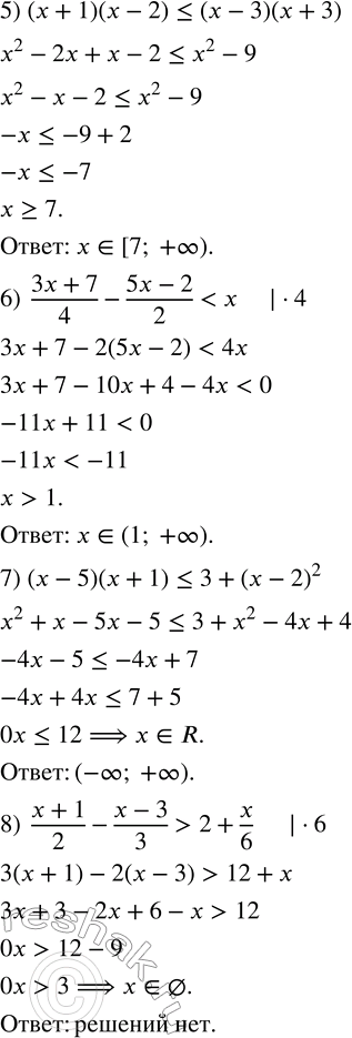
5) (x + 1)(x - 2) <= (x - 3)(x + 3);
6) (3x + 7)/4 - (5x - 2)/2 < x;
7) (x - 5)(x + 1) <= 3 + (x - 2)^2;
8) (x + 1)/2 - (x - 3)/3 > 2 + x/6.
Похожие решебники
Популярные решебники 8 класс Все решебники
*К сожалению, временные проблемы с публикацией комментариев с мобильных устройств.