Упр.982 ГДЗ Мерзляк Полонский 7 класс (Алгебра)
Решение #1 (Учебник 2025)
Решение #2 (Учебник 2025)
Решение #3 (Учебник 2021)
Решение #4 (Учебник 2021)

Рассмотрим вариант решения задания из учебника Мерзляк, Полонская, Якир 7 класс, Вентана-Граф:
Функция задана формулой f(x) = 2х - 1.
1) Найдите f(3); f(-4); f(0); f(-0,5); f(3,2).
2) Найдите значение х, при котором f(х) = 7; f(х) = -9; f(x) = 0; f(x) = -2,4.
3) Верно ли равенство:f(5) = 9;f(0,3) = 0,4; f(-3) = -7?
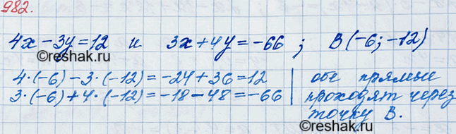
Докажите, что прямые 4х - 3у = 12 и 3х + 4у = -66 пересекаются в точке В (-6;-12).
Похожие решебники
Популярные решебники 7 класс Все решебники
*К сожалению, временные проблемы с публикацией комментариев с мобильных устройств.