Упр.980 ГДЗ Мерзляк Полонский 7 класс (Алгебра)
Решение #1 (Учебник 2025)
Решение #2 (Учебник 2021)
Решение #3 (Учебник 2021)

Рассмотрим вариант решения задания из учебника Мерзляк, Полонская, Якир 7 класс, Вентана-Граф:
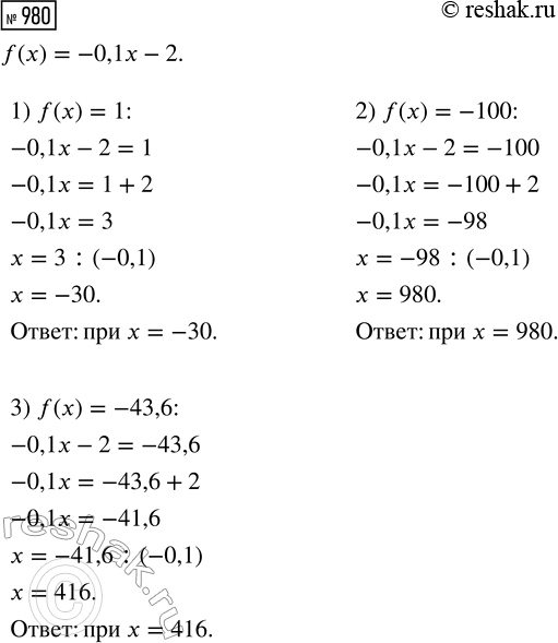
Функция задана формулой f(x) = -0,1x - 2. Найдите значение х, при котором:
1) f(х) = 1; 2) f(х) = -100; 3) f(х) = -43,6.
Составьте уравнение с двумя переменными по такому условию:
1) боковая сторона равнобедренного треугольника равна а см, основание — b см, периметр — 32 см;
2) один автомобиль проехал со скоростью х км/ч за 6 ч на 32 км меньше, чем другой автомобиль со скоростью у км/ч проехал за 7 ч;
3) в одном магазине было х ц яблок, а во втором — у ц; за день в первом магазине продали 14 % яблок, а во втором — 18 % яблок, причём во втором магазине продали на 1,2 ц яблок меньше, чем в первом.
Похожие решебники
Популярные решебники 7 класс Все решебники
*К сожалению, временные проблемы с публикацией комментариев с мобильных устройств.