Упр.928 ГДЗ Мерзляк Полонский 7 класс (Алгебра)
Решение #1 (Учебник 2025)
Решение #2 (Учебник 2021)
Решение #3 (Учебник 2021)

Рассмотрим вариант решения задания из учебника Мерзляк, Полонская, Якир 7 класс, Вентана-Граф:
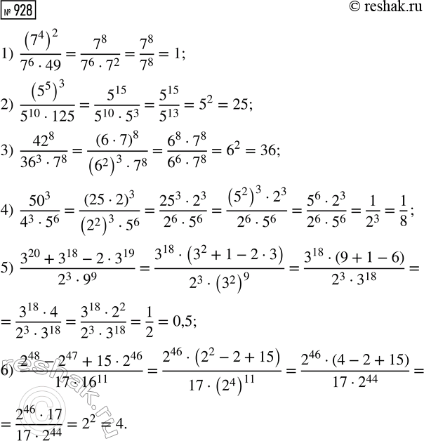
Найдите значение выражения:
1) (7^4)^2/(7^6 · 49);
2) (5^5)^3/(5^10 · 125);
3) 42^8/(36^3 · 7^8);
4) 50^3/(4^3 · 5^6);
5) (3^20 + 3^18 - 2 · 3^19)/(2^3 · 9^9);
6) (2^48 - 2^47 + 15 · 2^46)/(17 · 16^11).
Решите уравнение:
1) х2 + у2 = 0;
2) (х + 2)2 + (у- З)2 =0;
3) х4 + y6 = -4.
Похожие решебники
Популярные решебники 7 класс Все решебники
*К сожалению, временные проблемы с публикацией комментариев с мобильных устройств.