Упр.921 ГДЗ Мерзляк Полонский 7 класс (Алгебра)
Решение #1 (Учебник 2025)
Решение #2 (Учебник 2021)
Решение #3 (Учебник 2021)

Рассмотрим вариант решения задания из учебника Мерзляк, Полонская, Якир 7 класс, Вентана-Граф:
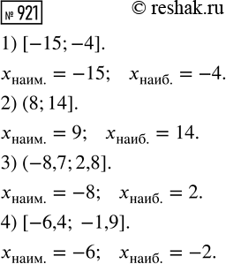
Укажите наименьшее и наибольшее целые числа, принадлежащие промежутку:
1) [-15; -4]; 2) (8; 14]; 3) (-8,7; 2,8]; 4) [-6,4; -1,9].
Составьте какое-нибудь уравнение с двумя переменными, решением которого является пара чисел:
1) x=1,y=1;
2) х = -3, у = 5;
3) х = 10, у = 0.
Похожие решебники
Популярные решебники 7 класс Все решебники
*К сожалению, временные проблемы с публикацией комментариев с мобильных устройств.