Упр.910 ГДЗ Мерзляк Полонский 8 класс (Алгебра)
Решение #1 (Учебник 2025)
Решение #2 (Учебник 2019)

Рассмотрим вариант решения задания из учебника Мерзляк, Полонская, Якир 8 класс, Просвещение:
Дано: -3a > -3b. Сравните:
1) a и b;
2) 2/7 a и 2/7 b;
3) b - 4 и a - 4;
4) -5/9 b и -5/9 a;
5) 3a + 2 и 3b + 2;
6) -5a + 10 и -5b + 10.
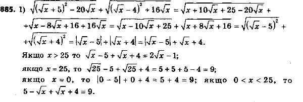
Упростите выражение:
1) корень ((корень x + 5)2 - 20 корень x) + корень ((корень x - 4)2 + 16 корень x);
2) корень (a + 2 корень (a + 3) + 4) + корень (a - 2 корень (a + 3) + 4).
Похожие решебники
Популярные решебники 8 класс Все решебники
*К сожалению, временные проблемы с публикацией комментариев с мобильных устройств.