Упр.83 ГДЗ Мерзляк Полонский 8 класс (Алгебра)
Решение #1 (Учебник 2025)
Решение #2 (Учебник 2025)
Решение #3 (Учебник 2019)
Решение #4 (Учебник 2019)

Рассмотрим вариант решения задания из учебника Мерзляк, Полонская, Якир 8 класс, Просвещение:
Представьте данную дробь в виде суммы или разности целого и дробного выражений:
1) (x+3)/x;
2) (a2-2a-5)/(a-2).
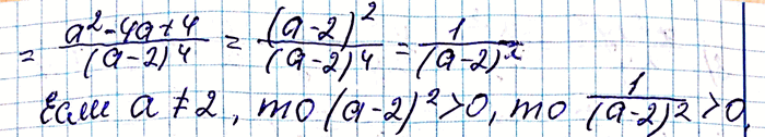
Докажите, что при всех допустимых значениях переменной выражение (a2-6)/(a-2)4 - (7a-4)/(a-2)4 + (3a+6)/(a-2)4 принимает положительные значения.
Похожие решебники
Популярные решебники 8 класс Все решебники
*К сожалению, временные проблемы с публикацией комментариев с мобильных устройств.