Упр.86 ГДЗ Мерзляк Полонский 8 класс (Алгебра)
Решение #1 (Учебник 2025)
Решение #2 (Учебник 2025)
Решение #3 (Учебник 2019)
Решение #4 (Учебник 2019)

Рассмотрим вариант решения задания из учебника Мерзляк, Полонская, Якир 8 класс, Просвещение:
Известно, что a/b = -2. Найдите значение выражения:
1) (a-b)/a;
2) (4a+5b)/b;
3) (a2-2ab+b2)/ab.
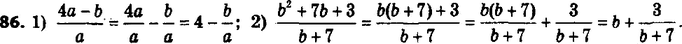
Представьте данную дробь в виде суммы или разности целого и дробного выражений:
1) (4a-b)/a;
2) (b2+7b+3)/(b+7).
Похожие решебники
Популярные решебники 8 класс Все решебники
*К сожалению, временные проблемы с публикацией комментариев с мобильных устройств.