Упр.79 ГДЗ Мерзляк Полонский 8 класс (Алгебра)
Решение #1 (Учебник 2025)
Решение #2 (Учебник 2025)
Решение #3 (Учебник 2019)
Решение #4 (Учебник 2019)

Рассмотрим вариант решения задания из учебника Мерзляк, Полонская, Якир 8 класс, Просвещение:
Докажите, что при всех допустимых значениях переменной х значение выражения (12x-25)/(20x-15) + (8x+10)/(20x-15) не зависит от значения х.
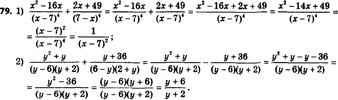
Упростите выражение:
1) (x2-16x)/(x-7)4 + (2x+49)/(7-x)4;
2) (y2+y)/((y-6)(y+2)) + (y+36)/((6-y)(2+y)).
Похожие решебники
Популярные решебники 8 класс Все решебники
*К сожалению, временные проблемы с публикацией комментариев с мобильных устройств.