Задание ЕГЭ 3 Параграф 80 ГДЗ Мякишев 10 класс (Физика)
Решение #1

Рассмотрим вариант решения задания из учебника Мякишев, Буховцев 10 класс, Просвещение:
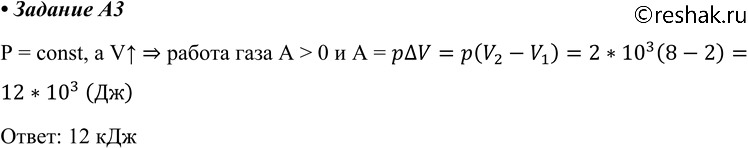
A3 Какая работа совершается газом при переходе его из состояния 1 в состояние 2 (см. рис.)?
1) 8 кДж
2) 12 кДж
3) 8 Дж
4) 6 Дж
Похожие решебники
Популярные решебники 10 класс Все решебники
*К сожалению, временные проблемы с публикацией комментариев с мобильных устройств.