Задание ЕГЭ 4 Параграф 80 ГДЗ Мякишев 10 класс (Физика)
Решение #1
Решение #2

Рассмотрим вариант решения задания из учебника Мякишев, Буховцев 10 класс, Просвещение:
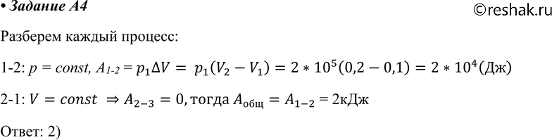
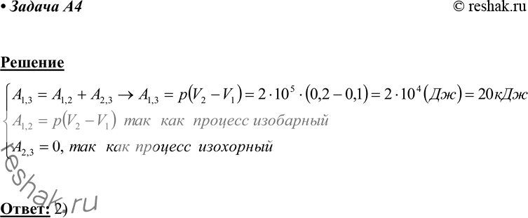
A4 Какую работу совершает газ при переходе из состояния 1 в состояние 3 (см. рис.)?
1) 10 кДж
2) 20 кДж
3) 30 кДж
4) 40 кДж
Похожие решебники
Популярные решебники 10 класс Все решебники
*К сожалению, временные проблемы с публикацией комментариев с мобильных устройств.