Упр.8.45 ГДЗ Дорофеев Суворова 7 класс (Алгебра)
Решение #1

Рассмотрим вариант решения задания из учебника Дорофеев, Суворова, Бунимович 7 класс, Просвещение:
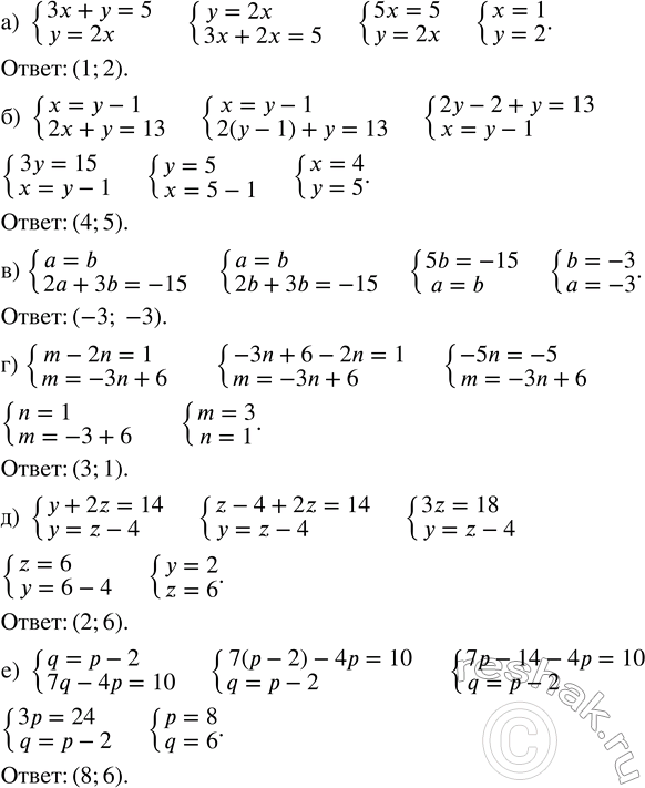
Решите систему уравнений способом подстановки:
а) {3x + y = 5; y = 2x;
б) {x = y - 1; 2x + y = 13;
в) {a = b; 2a + 3b = -15;
г) {m - 2n = 1; m = -3n + 6;
д) {y + 2z = 14; y = z - 4;
е) {q = p - 2; 7q - 4p = 10.
Популярные решебники 7 класс Все решебники
*размещая тексты в комментариях ниже, вы автоматически соглашаетесь с пользовательским соглашением