Упр.8.44 ГДЗ Дорофеев Суворова 7 класс (Алгебра)
Решение #1

Рассмотрим вариант решения задания из учебника Дорофеев, Суворова, Бунимович 7 класс, Просвещение:
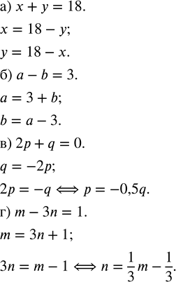
Выразите из уравнения сначала одну переменную, а затем другую:
а) х + у = 18; в) 2р + q = О;
б) а - b = 3; г) m - 3n = 1.
Популярные решебники 7 класс Все решебники
*К сожалению, временные проблемы с публикацией комментариев с мобильных устройств.