Упр.8.51 ГДЗ Дорофеев Суворова 7 класс (Алгебра)
Решение #1

Рассмотрим вариант решения задания из учебника Дорофеев, Суворова, Бунимович 7 класс, Просвещение:
Решите систему уравнений, применив любой из известных вам способов:
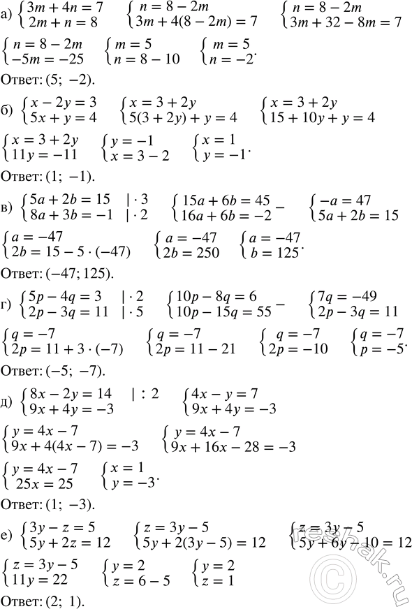
а) {3m + 4n = 7; 2m + n = 8;
б) {x - 2y = 3; 5x + y = 4;
в) {5a + 2b = 15; 8a + 3b = -1;
г) {5p - 4q = 3; 2p - 3q = 11;
д) {8x - 2y = 14; 9x + 4y = -3;
е) {3y - z = 5; 5y + 2z = 12.
Популярные решебники 7 класс Все решебники
*К сожалению, временные проблемы с публикацией комментариев с мобильных устройств.