Упр.793 ГДЗ Мерзляк Полонский 8 класс (Алгебра)
Решение #1 (Учебник 2025)
Решение #2 (Учебник 2025)
Решение #3 (Учебник 2019)
Решение #4 (Учебник 2019)

Рассмотрим вариант решения задания из учебника Мерзляк, Полонская, Якир 8 класс, Просвещение:
Сократите дробь:
1) (x2-6x+5)/(x-5);
2) (2x+12)/(x2+3x-18);
3) (x2+9x+14)/(x2+7x).
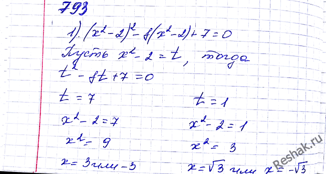
Решите уравнение методом замены переменной:
1) (x2 - 2)2 - 8(x2 - 2) + 7 = 0;
2) (x2 + 5x)2 - 2(x2 + 5x) - 24 = 0;
3) (x2 - Зx + 1)(x2 - Зx + 3) = 3;
4) (x2 + 2x + 2)(x2 + 2x - 4) = -5.
Похожие решебники
Популярные решебники 8 класс Все решебники
*К сожалению, временные проблемы с публикацией комментариев с мобильных устройств.