Упр.799 ГДЗ Мерзляк 8 класс (Алгебра)
Решение #1
Решение #2
Решение #3

Рассмотрим вариант решения задания из учебника Мерзляк, Полонская, Якир 8 класс, Вентана-Граф:
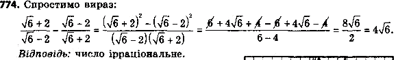
799. Каким числом, рациональным или иррациональным, является значение выражения
(корень 6 + 2)/(корень 6 - 2) - (корень 6 - 2)/(корень 6 + 2)?
Похожие решебники
Популярные решебники 8 класс Все решебники
*К сожалению, временные проблемы с публикацией комментариев с мобильных устройств.