Упр.791 ГДЗ Мерзляк 8 класс (Алгебра)
Решение #1
Решение #2
Решение #3

Рассмотрим вариант решения задания из учебника Мерзляк, Полонская, Якир 8 класс, Вентана-Граф:
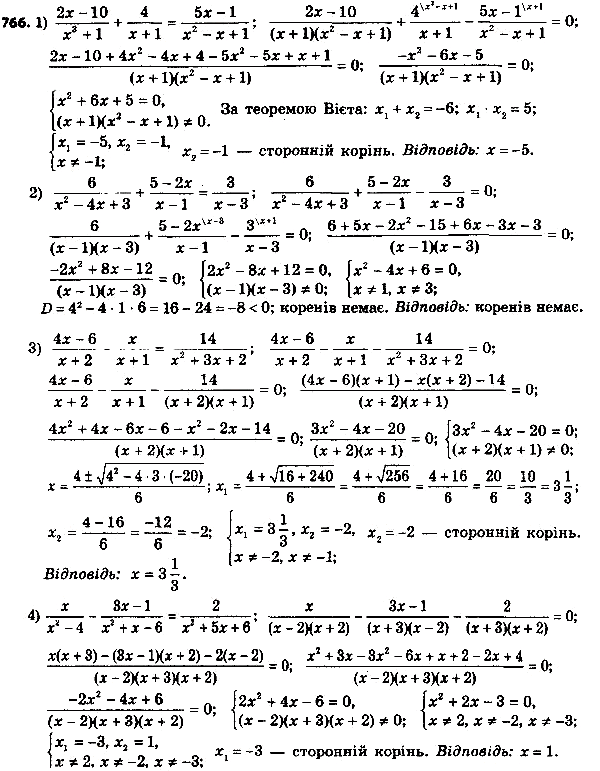
791. Решите уравнение:
1) (2x-10)/(x3+1) + 4/(x+1) = (5x-1)/(x2-x+1);
2) 6/(x2-4x+3) + (5-2x)/(x-1) = 3/(x-3);
Похожие решебники
Популярные решебники 8 класс Все решебники
*размещая тексты в комментариях ниже, вы автоматически соглашаетесь с пользовательским соглашением