Упр.792 ГДЗ Мерзляк Полонский 8 класс (Алгебра)
Решение #1 (Учебник 2025)
Решение #2 (Учебник 2025)
Решение #3 (Учебник 2019)
Решение #4 (Учебник 2019)

Рассмотрим вариант решения задания из учебника Мерзляк, Полонская, Якир 8 класс, Просвещение:
Сократите дробь:
1) (x2 + x - 6)/(x + 3);
2) (x - 4)/(x2 - 10x + 24);
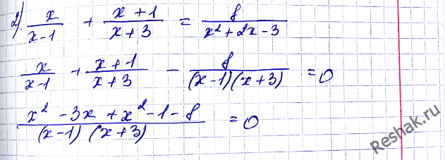
Решите уравнение:
1) (3x+2)/(x2+2x+4) + (x2+39)/(x3-8) = 5/(x-2);
2) x/(x-1) + (x+1)/(x+3) = 8/(x2+2x-3).
Похожие решебники
Популярные решебники 8 класс Все решебники
*К сожалению, временные проблемы с публикацией комментариев с мобильных устройств.