Упр.767 ГДЗ Мерзляк Полонский 8 класс (Алгебра)
Решение #1 (Учебник 2025)
Решение #2 (Учебник 2025)
Решение #3 (Учебник 2019)
Решение #4 (Учебник 2019)

Рассмотрим вариант решения задания из учебника Мерзляк, Полонская, Якир 8 класс, Просвещение:
Найдите, пользуясь теоремой, обратной теореме Виета, корни уравнения:
1) 7x2 + 11x - 18 = 0;
2) 9x2 - 5x - 4 = 0.
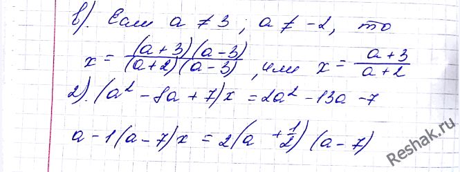
Для каждого значения a решите уравнение:
1) (а2 - а - 6)x = а2 - 9;
2) (а2 - 8a + 7)x = 2a2 - 1За - 7.
Похожие решебники
Популярные решебники 8 класс Все решебники
*К сожалению, временные проблемы с публикацией комментариев с мобильных устройств.