Задание 4 Параграф 74 ГДЗ Мякишев 10 класс (Физика)
Решение #1
Решение #2

Рассмотрим вариант решения задания из учебника Мякишев, Буховцев 10 класс, Просвещение:
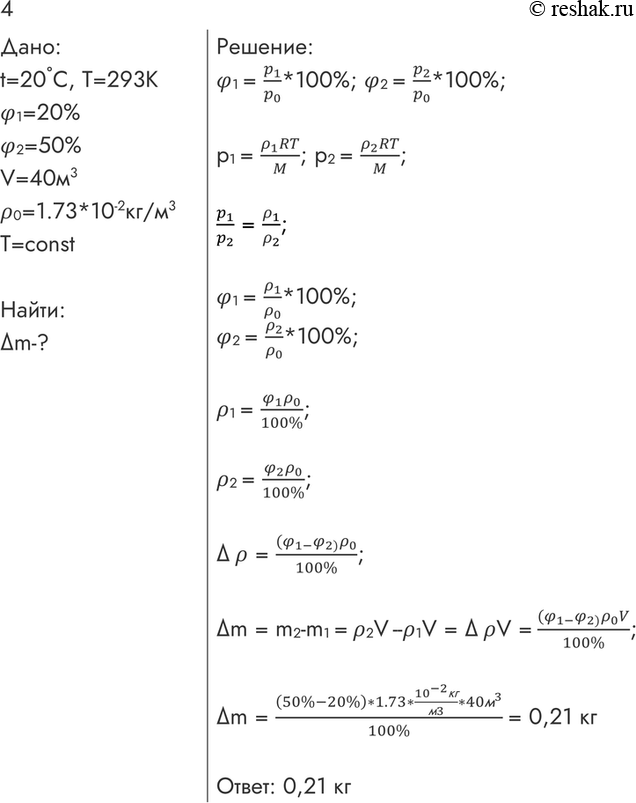
4. При температуре t = 20 °С относительная влажность в комнате фи 1 = 20 %. Определите массу воды, которую нужно испарить для увеличения влажности до фи 2 = 50%, если объём комнаты V = 40 м3. Плотность насыщенного пара воды при температуре t = 20 °С равна рн.п = 1,73 * 10^-2 кг/м3.
Похожие решебники
Популярные решебники 10 класс Все решебники
*К сожалению, временные проблемы с публикацией комментариев с мобильных устройств.