Упр.730 ГДЗ Мерзляк Полонский 5 класс (Математика)
Решение #1 (Учебник 2024)
Решение #2 (Учебник 2019)

Рассмотрим вариант решения задания из учебника Мерзляк, Полонский, Якир 5 класс, Просвещение:
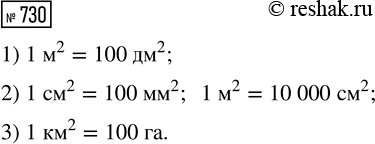
Сколько нулей надо записать вместо точек, чтобы образовалось верное равенство:
1) 1 м^2 = 1... дм^2; 2) 1 см^2 = 1... м^2; 3) 1 км^2 = 1... га?
Найдите все натуральные значения x, при которых дробь x/15 будет правильной.
Похожие решебники
Популярные решебники 5 класс Все решебники
*К сожалению, временные проблемы с публикацией комментариев с мобильных устройств.