🔥ГДЗ под запретом?

Упр.72 ГДЗ Никольский Потапов 9 класс (Алгебра)

Решение #1

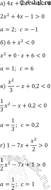
Изображение 72.Приведите неравенство:а) 4x+2x^2-1>0б) 6+x^2 0 или ах^2 + Ьх + с < 0, где а, Ь, с — целые числа. Назовите коэффициент при х2 и свободный...

Решение #2

Изображение 72.Приведите неравенство:а) 4x+2x^2-1>0б) 6+x^2 0 или ах^2 + Ьх + с < 0, где а, Ь, с — целые числа. Назовите коэффициент при х2 и свободный...

Рассмотрим вариант решения задания из учебника Никольский, Потапов 9 класс, Просвещение:
72.
Приведите неравенство:
а) 4x+2x^2-1 > 0
б) 6+x^2 < 0
в) x^2/3-x+0,2 < 0
г) 1-7x+x^2/2 > 0
к виду ах^2 + Ьх + с > 0 или ах^2 + Ьх + с < 0, где а, Ь, с — целые числа. Назовите коэффициент при х2 и свободный член.
*Цитирирование задания со ссылкой на учебник производится исключительно в учебных целях для лучшего понимания разбора решения задания.
*К сожалению, временные проблемы с публикацией комментариев с мобильных устройств.