🔥ГДЗ под запретом?

Упр.66 ГДЗ Никольский Потапов 9 класс (Алгебра)

Решение #1

Изображение 66.а) |2x-3|>1б) |2x+1|>3в) |3x-5|>1г)...
Дополнительное изображение

Решение #2

Изображение 66.а) |2x-3|>1б) |2x+1|>3в) |3x-5|>1г)...
Дополнительное изображение
Дополнительное изображение

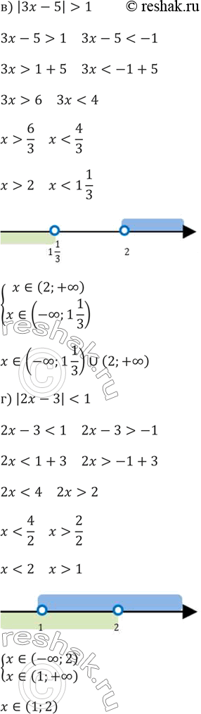
Рассмотрим вариант решения задания из учебника Никольский, Потапов 9 класс, Просвещение:
66.
а) |2x-3| > 1
б) |2x+1| > 3
в) |3x-5| > 1
г) |2x-3| < 1
д) |2x+1| < 3
е) |3x-5| < 1
*Цитирирование задания со ссылкой на учебник производится исключительно в учебных целях для лучшего понимания разбора решения задания.
*К сожалению, временные проблемы с публикацией комментариев с мобильных устройств.