🔥ГДЗ под запретом?

Упр.76 ГДЗ Никольский Потапов 9 класс (Алгебра)

Решение #1

Изображение 76. Напишите неравенство с положительным коэффициентом при х^2, равносильное неравенству:а) (-x)^2+5x+7>0   б) (-2x)^2-4x+80     г)- 3/5...

Решение #2

Изображение 76. Напишите неравенство с положительным коэффициентом при х^2, равносильное неравенству:а) (-x)^2+5x+7>0   б) (-2x)^2-4x+80     г)- 3/5...

Рассмотрим вариант решения задания из учебника Никольский, Потапов 9 класс, Просвещение:
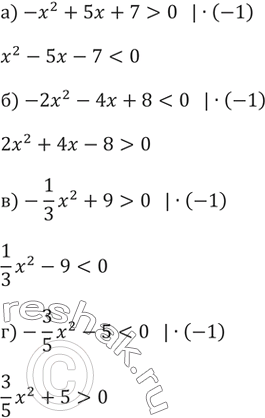
76. Напишите неравенство с положительным коэффициентом при х^2, равносильное неравенству:

а) (-x)^2+5x+7 > 0
б) (-2x)^2-4x+8 < 0
в)- 1/3 x^2+9 > 0
г)- 3/5 x^2-5 < 0
*Цитирирование задания со ссылкой на учебник производится исключительно в учебных целях для лучшего понимания разбора решения задания.
*К сожалению, временные проблемы с публикацией комментариев с мобильных устройств.