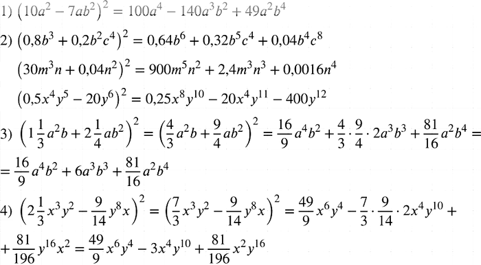
Упр.707 ГДЗ Мерзляк Полонский 7 класс (Алгебра)
Решение #1 (Учебник 2025)
Решение #2 (Учебник 2021)
Решение #3 (Учебник 2021)

Рассмотрим вариант решения задания из учебника Мерзляк, Полонская, Якир 7 класс, Вентана-Граф:
Разложите на множители многочлен:
1) 2а2 -2b2;
2) сх2 - су2;
3) 3х2 - 3;
4) 3ab2 -27а;
5) х3 -4х;
6) 2y3 - 18y;
7) х4 -х2;
8) 0,09t4 -t6;
9) 16/49*a2b4с5 - b2с3.
Похожие решебники
Популярные решебники 7 класс Все решебники
*К сожалению, временные проблемы с публикацией комментариев с мобильных устройств.