Упр.7.5 ГДЗ Дорофеев Суворова 7 класс (Алгебра)
Решение #1

Рассмотрим вариант решения задания из учебника Дорофеев, Суворова, Бунимович 7 класс, Просвещение:
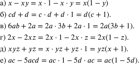
Вынесите общий множитель за скобки (815—816).
815 а) х - ху;
б) cd + d;
в) 6ab + 2а;
г) 2х - 2xz;
д) xyz + yz;
е) ас - 5acd.
Образец, а + 3аи = а * 1 + 3аb = a(1 + 3b).
Популярные решебники 7 класс Все решебники
*К сожалению, временные проблемы с публикацией комментариев с мобильных устройств.